PREMIUM 1.7227 Acier
42CrMoS4

AFNOR 42CDS4

PREMIUM 1.7227 Acier
42CrMoS4

42CrMoS4
€co-Präz / BA
-plat-
Toleranzen.png
€co-Präz
-plat-
Toleranzen.png

1.7227 (AFNOR 42CDS4) - EN UN COUP D'ŒIL

Quel type d'acier est le 1.7227 (AFNOR 42CDS4) ?

Comme acier faiblement allié, le 1.7227 (AFNOR 42CDS4) (ici en finition recuite) a besoin de l’ajout de chrome, de molybdène pour augmenter sa résistance et sa trempabilité. La teneur en soufre permet d’améliorer l’usinabilité de cette nuance. La teneur en chrome de cet acier de traitement assure le durcissement à cœur, pendant que le molybdène ajouté assure une dureté et une résistance uniformes.

Sa bonne combinaison de propriétés mécaniques et d’usinabilité rend ce matériau utilisable pour de nombreuses applications et dans de nombreuses industries.

Caractéristiques techniques

La nuance 1.7227, également connue sous le nom de 42CrMoS4, est un acier au chrome-molybdène faiblement allié. Il se caractérise par sa haute résistance, sa bonne ténacité et sa trempabilité. Il est utilisé dans la construction mécanique, la fabrication d’outils et de nombreuses autres industries en raison de ses bonnes propriétés.

  • excellente résistance à l’usure
  • excellente résistance mécanique 
  • usinabilité améliorée 
  • haute résistance 
  • haute ténacité 
  • nitruable
  • érodable 
  • difficilement soudable 

Applications Possibles

Grâce à sa haute résistance et à sa haute ténacité, le matériau 1.7227 (AFNOR 42CDS4) peut être utilisé dans de nombreuses applications.

Les applications du 1.7227 (AFNOR 42CDS4) sont notamment les suivantes : 

  • mandrins
  • flasques
  • pinces de serrage
  • matrices de flexion
  • vilebrequins
  • pièces d’embrayage
  • galets de formage
  • matrices d’estampage pour petites séries
  • construction mécanique en général
  • composants de machine
  • fusées
  • bielles
  • arbres à manivelle
  • arbres de transmission
  • pignons
  • roues dentées
  • bandages
  • plaques de base
  • pièces de montage
  • axes

1.7227 Valeurs de référence

Analyse chimique:

C Si Mn P S Cr Mo
0,38 - 0,45 0 - 0,4 0,6 - 0,9 0,0 - 0,035 0,02 - 0,04 0,9 - 1,2 0,15 - 0,3

Dénomination chimique:
42CrMoS4

Dureté d’utilisation:
27-48 HRC

Dureté à la livraison:
max. 217 HB

42CDS4 PROPRIÉTÉS PHYSIQUES

  • Acier de traitement
  • Acier pour travail à froid

Même avec une teneur en chrome-molybdène, l’acier 42CDS4 n’est pas un acier inoxydable classique à 10,5% de chrome.

Il appartient au groupe des aciers de construction faiblement alliés.

L’acier 42CDS4 ne résiste pas à la corrosion. Afin d’être classé dans la catégorie des aciers résistants à la corrosion, l’acier en question doit présenter une teneur en chrome d’au moins 10,5 %. La teneur en chrome de l’acier 42CDS4 est comprise entre 0,9 et 1,2 % de chrome.

L’acier de traitement 42CDS4 est magnétisable tout en se prêtant aux opérations d’usinage comme la rectification, le fraisage et l’érosion lorsqu’il est placé sur une machine à adhérence magnétique.

Sur une échelle graduée de 1, qui représente un degré faible, à 6, haut degré, la résistance à l’usure de l’acier 42CDS4 obtient la note 3.

42CDS4 PROPRIÉTÉS TECHNIQUES

Recourant à l’acier 42CDS4 pour fabriquer une lame, on doit avoir conscience de la dureté, de la résistance à la corrosion et de la résistance à l’usure de ce matériau. Quoiqu’il soit possible de le faire, normalement, cette nuance d’acier ne s’utilise pas pour la fabrication de couteaux.

La dureté d’utilisation de l’acier 42CDS4 se situe entre 27 et 48 HRC.

À la température ambiante, la densité de l’acier 42CDS4 s’élève à 7,85 g/cm3.

La résistance à la traction de l’acier 42CDS4 s’élève à quelque 720 N/mm2. Pour parvenir à cette conclusion, on procède à un essai de traction qui révèle combien de force il faut pour étirer un échantillon, jusqu’à ce qu’il se rompe.

Sur une échelle graduée de 1, qui représente un degré faible, à 6, haut degré, l’usinabilité de l’acier 42CDS4 obtient la note 5.

La limite élastique de l’acier 42CDS4 s’élève à quelque 655 N/mm2. Elle indique dans quelle mesure des contraintes mécaniques peuvent s’exercer, avant qu’un matériau se déforme plastiquement. Une fois passé ce point, qui marque la limite, le matériau ne retrouve plus sa forme originale, dès que les contraintes mécaniques sont éliminées, mais reste déformé ou casse même.

À la température ambiante, la conductibilité thermique de l’acier de traitement 42CDS4 se situe autour de 42,6 W/(m*K).

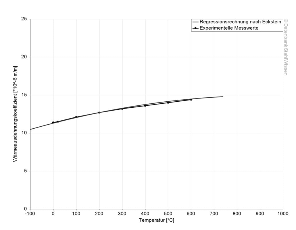
Le coefficient de dilatation thermique indique combien l’acier, exposé à un changement de température, se dilate ou se contracte. C’est une information très importante, surtout pour l’usinage à des températures élevées ou lorsque les variations de température pendant l’opération d’usinage sont fortes.

Coefficient de dilatation thermique moyen

10-6m/(m*K)

À une température de

11,1

20 – 100 °C

12,1

20 – 200 °C

12,9

20 – 300 °C

13,5

20 – 400 °C

Cette valeur indique combien de chaleur est nécessaire pour augmenter la température d’une certaine quantité de matériau de 1 Kelvin. 

Le tableau qui suit indique la résistance électrique spécifique. S’y oppose la conductivité électrique.

Résistance électrique spécifique

Valeur (Ohm*mm²)/m

À une température de

0,19

20 °C

MEILLEURE USINABILITÉ – GRÂCE À
L’ADDITION DE SOUFRE – AFNOR 42CDS4!

42CDS4 PROCÉDÉS

L’acier 42CDS4 peut être chauffé à une température de 860 °C et trempé à l’huile. C’est au moyen des traitements de normalisation et de revenu que l’on peut doter ce matériau de bonnes propriétés.

Chauffez la pièce à usiner uniformément à une température comprise entre 680 et 720 °C, puis commencez à la refroidir lentement au four, afin d’obtenir une dureté de quelque 217 HB.

L’acier 42CDS4 devrait être chauffé à une température se situant entre 593 et 705 °C, température à maintenir pendant deux heures, avant d’être refroidi à l’eau. 

Cette nuance d’acier peut être soumise à un traitement de normalisation avant de subir une opération de trempe. Dans ce cas, elle est chauffée à une température comprise entre 840 et 880 °C, puis refroidie à l’air.

Plus élevée la température de revenu est, plus doux et plus ductile l’acier 42CDS4 se montre. C’est en règle générale le traitement de revenu qui définit aussi bien la dureté que la ductilité du matériau. Dans la mesure où la ductilité augmente, la dureté diminue, et vice versa. Outre le fait que le traitement de revenu confère à l’acier les propriétés désirées et dont il a besoin, c’est grâce à ce traitement que l’acier connaît une relaxation (des contraintes), est moins sujet à la fissuration tout en présentant un meilleur comportement à la déformation.

L’acier 42CDS4 peut être soumis à un traitement de revenu à une température se situant entre 540 et 680 °C – en fonction de la dureté et des autres caractéristiques nécessaires qu’il présente. Passé ce traitement, le matériau devrait être refroidi à l’air.

En vue de durcir l’acier 42CDS4, ce dernier devrait être chauffé lentement et uniformément à une température comprise entre 820 et 860 °C avant d’être trempé à l’eau ou à l’huile, cela en fonction de la taille et de la complexité de la pièce de fabrication. Passé le durcissement par précipitation, le matériau présente une dureté d’utilisation de 27 – 48 HRC.

Une fois trempé à l’huile et refroidi à la température ambiante, l’acier 42CDS4 peut être soumis à un traitement de revenu.

Ce diagramme illustre des transformations minimales, se produisant au fil du temps à des températures différentes. Celles-là entrent en jeu lorsqu’on effectue un traitement thermique, car elles sont révélatrices des conditions optimales pour des processus tels que le durcissement, le recuit et la normalisation.

Ce diagramme illustre les transformations structurelles au niveau micro au fil du temps à une température constante. Il montre à quelle température et au bout de combien de temps commencent à se former différentes phases telles que la perlite, la martensite ou la bainite.

42CDS4 TRAITEMENT DE SURFACE

En vue de procurer à cette nuance d’acier une couche superficielle plus dure, on peut lui faire subir une opération de nitruration. Lors de cette dernière, on enrichit la surface de la pièce d’acier d’azote afin d’augmenter par exemple la dureté superficielle et d’améliorer la résistance à la corrosion.

42CDS4 USINAGE

C’est au moyen du traitement thermique que la nuance 42CDS4 obtient une microstructure, qui la rend facile à usiner.

Cette nuance d’acier peut subir une opération d’érosion, aussi bien à l’état recuit qu’à l’état trempé. Passée l’opération d’érosion, on devrait faire disparaître la mince couche dite blanche en affûtant et polissant la pièce. Sinon, cette couche dite blanche peut affecter la durée de vie et la puissance des pièces de fabrication.

L’acier 42CDS4+QT peut être forgé à une température comprise entre 900 et 1000 °C. Cette opération doit être complétée par un refroidissement très lent à l’air calme ou au sable.

Logo_Abrams_Ausrufezeichen.png
MEILLEURE USINABILITÉ – GRÂCE À L’ADDITION DE SOUFRE – AFNOR 42CDS4!
richtwerte-2.png

Valeurs de référence

Dénomination chimique: 42CrMoS4
Dureté d’utilisation: 27-48 HRC
Dureté à la livraison: max. 217 HB
Analyse chimique:
C Si Mn P S Cr Mo
0,38

0,45
0

0,4
0,6

0,9
0

0,035
0,02

0,04
0,9

1,2
0,15

0,3
technical-info.png

Caractéristiques techniques

Acier de traitement pour de multiples applications (ici la version recuite) pourvu d’une grande résistance mécanique et une haute ténacité, souvent utilisé pour les composants automobiles fortement sollicités. Usinabilité améliorée grâce à l’addition de soufre, peu sensible à la déformation.

anwendungen.png

Applications possibles

Construction mécanique en général, composants de machine, axes, fusées, bielles, arbres à manivelle, vilebrequins, arbres de transmission, pignons, roues dentées, bandages, plaques de base, pièces de montage.

70 NUANCES D'ACIER SOUS FORME DE 32895 DIMENSIONS

EN DIRECT DE NOTRE STOCK À OSNABRÜCK / ALLEMAGNE

LIVRAISON RAPIDE (DANS LA LIMITE DES STOCKS DISPONIBLES)

PAS DE MONTANT MINIMAL DE COMMANDE NI DE QUANTITÉ MINIMALE

LE PLUS VASTE ASSORTIMENT DE SEMI-FINIS D'EUROPE

SCIAGE - FRAISAGE - RECTIFICATION À VOS DIMENSIONS

Select Your Country / Language

Avez-vous des questions ?

Si vous ne trouvez pas ce que vous cherchez ou si vous avez besoin de dimensions individuelles alors vous êtes invités à vous renseigner directement sur vos besoins spécifiques – notre équipe vous aidera avec plaisir.

Appelez-nous à tout moment:
T: + 33 (0) 4 81 68 09 10 (Lyon)
T: + 32 (0) 4 268 18 10 (Liége)

ou envoyez-nous un e-mail à:

[email protected]

Si vous ne trouvez pas ce que vous cherchez ou si vous avez besoin de dimensions individuelles alors vous êtes invités à vous renseigner directement sur vos besoins spécifiques – notre équipe vous aidera avec plaisir.

Appelez-nous à tout moment: