PREMIUM 1.4034 Acier
X46Cr13

AFNOR Z44C14Cl

PREMIUM 1.4034 Acier
X46Cr13

X46Cr13
PFS
-plat-
Toleranzen.png
PFS / BA
-plat-
Toleranzen.png
Hart-Präz®
-plat-
Toleranzen.png
€co-Präz / BA
-plat-
Toleranzen.png
€co-Präz
-plat-
Toleranzen.png
PRS
-rond-
Toleranzen.png
PRS / BA
-rond-
Toleranzen.png

1.4034 (AFNOR Z44C14CI) - EN UN COUP D'ŒIL

Quel type d'acier est le 1.4034 (AFNOR Z44C14CI) ?

L’acier inoxydable 1.4034 (X46Cr13) a une bonne ductilité à l’état recuit et peut atteindre une dureté d’au moins 50 HRC à l’état trempé. Comme acier inoxydable martensitique, le 1.4034 (AFNOR Z44C14CI) est optimisé pour sa haute dureté, tandis que d’autres propriétés sont affectées jusqu’à une certaine mesure. Le 1.4034 (AFNOR Z44C14CI) perd de sa ductilité à des températures négatives et est moins résistant à la corrosion que les aciers austénitiques, il se laisse mal souder et perd de sa résistance lorsqu’il est soumis à un revenu excessif à des températures trop élevées.

Caractéristiques techniques

En considérant les applications et les propriétés, le 1.4034 (AFNOR Z44C14CI)atteint une bonne dureté, une bonne résistance mécanique et une bonne résistance à l’usure lorsqu’il est trempé, et il a une bonne résistance à la corrosion, même si elle se situe au bas de l’échelle par rapport aux autres aciers inoxydables. Ce qui fait de lui un bon choix non seulement pour les couteaux, mais aussi pour les instruments de coupe, les outils et les applications décoratives.

  • acier pour le travail à froid résistant à la corrosion 
  • acier pour  moulage de matières plastiques 
  • martensite 
  • bonne usinabilité
  • magnétisable 
  • trempant 
  • polissable 
  • trempable à cœur avec peu de déformation
  • haute acceptation de trempe 
  • bonne résistance à l’usure
  • mauvaise aptitude au soudage

Applications Possibles

Grâce à la combinaison d’une haute dureté, d’une résistance à la corrosion et à l’usure et d’une aptitude au polissage, l’acier inoxydable 1.4034 (AFNOR Z44C14CI) peut être utilisé pour des applications telles que les lames de rasoir, les instruments dentaires et chirurgicaux, les moules en plastique ainsi que les pièces de machines, de vannes et d’armes.

  • construction mécanique en général
  • technique médicale
  • moules pour matières plastiques
  • outils pour compression de résine de synthèse
  • outils de coulage sous pression
  • coulage sous pression de métaux légers
  • outils de découpe
  • lames de machine
  • couteaux de cuisine
  • rasoirs à main
  • ciseaux
  • lames de curetage
  • instruments chirurgicaux
  • outils de mesure
  • paliers à roulement
  • roulements à billes
  • patins à glace
  • composants de pompe
  • soupapes

1.4034 Valeurs de référence

Analyse chimique:

C Si Mn P S Cr
0,43 - 0,5 0,0 - 1,0 0,0 - 1,0 0,0 - 0,04 0,0 - 0,015 12,5 - 14,5

Dénomination chimique:
X46Cr13

Dureté d’utilisation:
50-55 HRC

Dureté à la livraison:
max. 241 HB

1.4034 PROPRIÉTÉS PHYSIQUES

  • Acier inoxydable martensitique
  • Acier inoxydable résistant à la corrosion
  • Acier inoxydable résistant aux acides
  • Acier inoxydable
  • Acier pour moules en plastique
  • Acier pour travail à froid

Oui, le 1.4034 est un acier inoxydable martensitique avec une teneur en chrome d’environ 12,5 à 14,5 %, ce qui lui confère sa résistance à la corrosion.

L’acier inoxydable 1.4034 présente une bonne résistance à l’eau et à la vapeur. Il présente une résistance modérée aux environnements corrosifs sans chlorure et n’est pas résistant à la corrosion intercristalline après soudage ou à l’état recuit. Si la résistance à la corrosion est un facteur important, il convient de veiller à ce que le matériau ne soit pas trop recuit ou utilisé à l’état recuit, mais à l’état trempé avec une surface bien usinée et lisse.

En tant qu’acier inoxydable martensitique, le 1.4034 possède une structure ferromagnétique qui le rend magnétisable à l’état recuit et trempé. L’acier 1.4034 est adapté à la technique de serrage magnétique.

Cet acier inoxydable obtient une note de 4 pour sa résistance à l’usure sur une échelle où 1 est faible et 6 élevé.

Le 1.4034 doit être utilisé à des températures modérément élevées. Il n’est pas recommandé de l’utiliser à des températures supérieures à 430 °C, car cela réduit sa résistance à la corrosion et ses propriétés mécaniques.

1.4034 CARACTÉRISTIQUES TECHNIQUES

Le 1.4034 peut être utilisé comme acier à couteaux. Il est facile à affûter, présente une bonne résistance à la corrosion et une bonne ténacité. Son inconvénient est son pouvoir de coupe, ce qui signifie qu’il doit être affûté plus souvent.

La dureté de travail de l’acier inoxydable 1.4034 est comprise entre 50 et 55 HRC.

La densité typique de l’acier inoxydable 1.4006 est de 7,7 g/cm3 à température ambiante.

Le 1.4034 a une résistance à la traction d’environ 815 N/mm2. Pour obtenir cette valeur, un essai de traction est effectué afin de déterminer la force nécessaire pour étirer ou allonger un échantillon avant qu’il ne se rompe.

La limite d’élasticité indique la tension maximale pouvant être appliquée avant qu’un matériau ne se déforme plastiquement. Au-delà de ce point, le matériau ne reprend pas sa forme initiale lorsque les tensions sont supprimées, mais reste déformé, voire se brise. La limite d’élasticité de l’acier inoxydable 1.4034 est comprise entre 515 et 1380 N/mm2.

L’acier inoxydable 1.4034 peut être usiné de manière similaire à certains aciers riches en carbone et produit des copeaux tenaces et fibreux. À l’état recuit, le matériau est plus facile à usiner qu’à l’état trempé.

Sur une échelle où 1 est faible et 6 élevé, le DIN 1.4034 obtient un 4 pour son usinabilité.

La conductivité thermique de l’acier inoxydable 1.4034 est de 30 W/(m*K) à température ambiante.

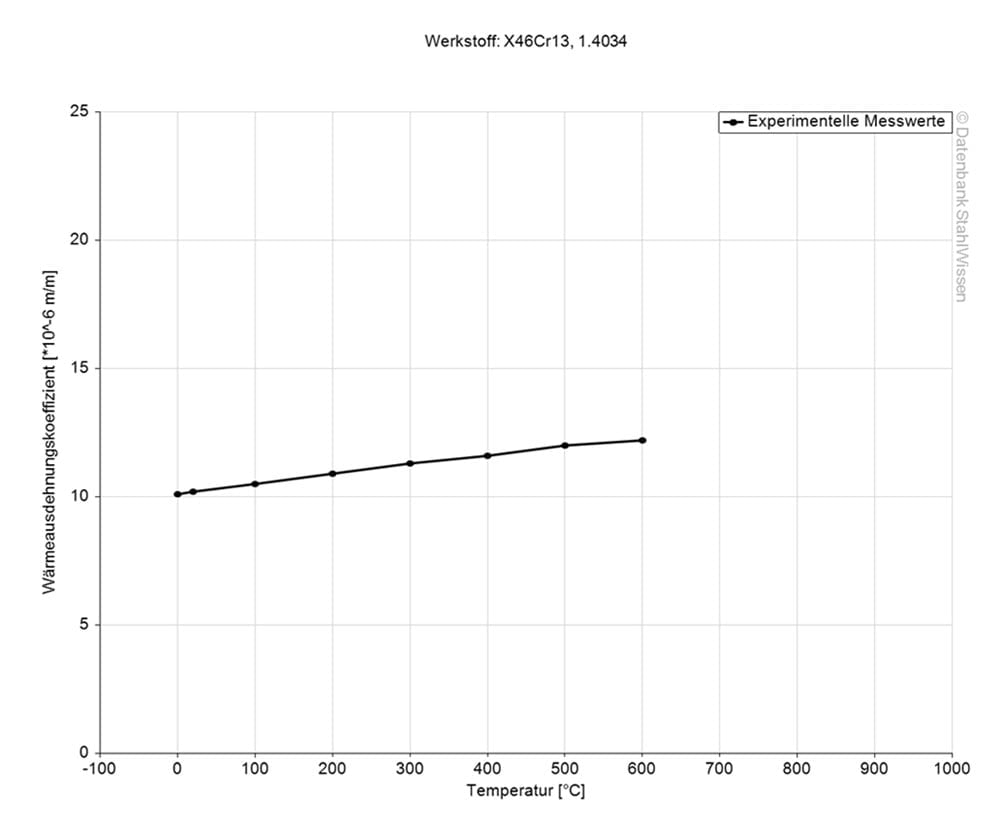
Le tableau suivant indique la dilatation ou la contraction à différentes températures, ce qui peut être très important pour les travaux à haute température ou en cas de fortes variations de température.

Coefficient de dilatation thermique moyen

Valeur 10-6m/(m*K)

À une température de

10,5

20 – 100 °C

11,0

20 – 200 °C

11,5

20 – 300 °C

12,0

20 – 400 °C

12,0

20 – 500 °C

La capacité thermique spécifique de l’acier inoxydable 1.4034 à température ambiante est de 0,46 J/kg*K. Cette valeur indique la quantité de chaleur nécessaire pour réchauffer d’un kelvin une quantité donnée de matériau 1.4034.

Le tableau suivant indique la résistance électrique spécifique de l’acier inoxydable 1.4034. La conductivité électrique est la valeur équivalente de la résistance spécifique.

Résistance électrique spécifique

Valeur (Ohm*mm2)/m

À une température de

0,55

20 °C

HART-PRÄZ® MATÉRIAU DÉJÀ TREMPÉ
DE 250 MM ET DE 500 MM DE LONG!

1.4034 PROCÉDÉ

Le traitement thermique permet de définir les propriétés des matériaux. Il doit donc toujours être effectué avec précaution. Il permet de définir des propriétés telles que la résistance, la ténacité, la dureté de surface et la résistance à la température, qui peuvent à leur tour prolonger/améliorer la durée de vie des pièces, des outils et des composants.

Le traitement thermique comprend le recuit de mise en solution, le recuit d’adoucissement, la normalisation, le recuit de détente, mais aussi le revenu, le durcissement, le refroidissement et la trempe.

Pour recuire l’acier inoxydable 1.4034, maintenez le matériau à une température comprise entre 750 et 850 °C, puis laissez-le refroidir lentement dans le four ou à l’air libre.

Chauffez la pièce à une température comprise entre 150 et 430 °C et maintenez-la pendant 1 à 3 heures, puis laissez-la refroidir à l’air libre ou trempez-la dans de l’huile ou de l’eau.

Pour obtenir une large gamme de valeurs de dureté et de propriétés mécaniques, chauffez les pièces à une température comprise entre 150 et 700 °C, puis laissez-les refroidir à l’air libre. Pour une résistance à la corrosion et des propriétés mécaniques optimales, évitez toutefois les températures comprises entre 425 et 600 °C.

Le revenu de cette nuance d’acier à basse température entraîne une dureté plus élevée, tandis que des températures plus élevées améliorent la ténacité, mais réduisent la dureté.

Une résistance aux chocs réduite peut être le résultat d’une fragilisation par revenu, qui peut se produire lors d’un revenu dans une zone entre 425 et 600 °C.

Chauffez l’acier uniformément à une température comprise entre 950 et 1050 °C, puis laissez-le refroidir rapidement à l’air libre ou dans l’huile.

Lors du refroidissement, l’acier inoxydable 1.4034 subit une transformation de phase de l’austénite à la martensite. Un refroidissement rapide permet d’obtenir une dureté plus élevée. Plus le refroidissement du matériau est rapide, plus la formation de martensite est importante, tandis qu’un refroidissement lent peut laisser subsister un peu d’austénite ou d’autres phases. Cependant, le refroidissement rapide comporte également des risques : il peut générer des tensions qui peuvent entraîner des fissures de refroidissement et nuire à la ténacité des pièces.

Ce diagramme montre les micro-changements au fil du temps à différentes températures. Ceux-ci sont importants pour le traitement thermique, car ils fournissent des informations sur les conditions optimales pour des processus tels que le durcissement, le recuit et la normalisation.

1.4034 TRAITEMENT DE SURFACE

Lors du choix d’un traitement de surface, il convient de tenir compte de la surface et de l’utilisation prévue. Certains traitements de surface peuvent influencer les propriétés requises. Si la résistance à la corrosion est une propriété requise, il convient de choisir un traitement de surface qui augmente la résistance naturelle à la corrosion.

Vous trouverez ci-dessous quelques exemples de traitements de surface possibles.

Comme d’autres traitements de surface, la nitruration peut également augmenter la résistance naturelle à la corrosion en introduisant de l’azote dans la surface. Ce procédé peut également améliorer la résistance à l’usure.

Il s’agit d’un traitement de surface qui peut améliorer la résistance à la corrosion, mais qui est principalement utilisé pour colorer la surface en bleu-noir afin de réduire la réflexion de la lumière et d’améliorer l’esthétique.

Dans le cas des revêtements PVD (dépôt physique en phase vapeur) et CVD (dépôt chimique en phase vapeur), une fine couche est appliquée à la surface du matériau afin de le protéger davantage et d’améliorer sa résistance à l’usure et ses propriétés de glissement.

PVD – dépôt physique en phase vapeur

CVD – dépôt chimique en phase vapeur

La passivation augmente la résistance à la corrosion en traitant la surface avec une solution acide, telle que l’acide citrique ou nitrique, afin d’éliminer le fer libre de la surface.

Le polissage de la surface pour obtenir un brillant élevé peut améliorer la résistance à la corrosion, car une surface lisse peut minimiser l’adhérence des impuretés.

Ce procédé chimique non mécanique consiste à retirer une fine couche de matériau à l’aide d’un courant électrique, ce qui confère au 1.4034 une surface lisse et brillante. Il permet de minimiser l’adhérence des bactéries, ce qui peut être avantageux pour les appareils médicaux et/ou les appareils destinés à la transformation des aliments.

Ce procédé consiste à projeter plusieurs tirs à grande vitesse sur la surface du matériau, ce qui crée de petites cavités qui éliminent les pics de tension. La surface devient ainsi plus résistante et peut prévenir les dommages causés par la fatigue et la corrosion sous contrainte.

Des particules abrasives telles que des billes de verre ou de céramique sont projetées sur la surface afin d’éliminer les impuretés telles que la rouille, la peinture ou la calamine et d’obtenir une surface mate uniforme.

1.4034 USINAGE

L’érosion permet d’obtenir différentes textures de surface, mais elle est principalement utilisée pour la fabrication de formes complexes, de petits détails et de géométries complexes dans des matériaux durs. Le matériau 1.4034 se situant dans la zone de dureté supérieure, l’érosion peut être utilisée avec succès. Lors du choix des électrodes, du liquide diélectrique et de la vitesse de coupe, il convient de tenir compte de la qualité de la surface et de l’application ultérieure.

La transformation de l’austénite en martensite peut entraîner un léger rétrécissement qui peut avoir une incidence sur les dimensions des pièces, et l’austénite résiduelle peut continuer à influencer les dimensions lors du revenu.

Chauffez lentement la pièce à une température d’environ 800 °C, puis plus rapidement à 1050 – 1140 °C. Le forgeage doit être effectué dans une zone de température comprise entre 1 100 et 800 °C, puis refroidir lentement dans un four avec de la cendre sèche ou d’autres matériaux permettant un refroidissement lent.

Le forgeage présente certes certains avantages, tels que l’affinage du grain, l’élimination de la porosité, une meilleure résistance directionnelle et une structure améliorée, pour n’en citer que quelques-uns, mais il présente également quelques inconvénients. Le forgeage peut, en particulier à l’état trempé, provoquer une usure importante des outils, former une couche de calamine qui doit être éliminée après le forgeage et nécessiter éventuellement un traitement thermique après le forgeage. Par rapport au moulage, à l’usinage ou à l’érosion, le forgeage est réduit à des formes plus grossières.

Comme il s’agit d’un acier trempé à l’air, l’acier inoxydable 1.4034 est rarement soudé.

Si le soudage est inévitable, il doit être préchauffé à 149 – 204 °C avant le soudage, puis recuit pendant 6 à 8 heures à une température de 732 à 788 °C, et ensuite refroidi à l’air. Afin de conserver ses propriétés mécaniques, la charge doit, si nécessaire, être similaire au matériau de base.

Logo_Abrams_Ausrufezeichen.png
HART-PRÄZ® MATÉRIAU DÉJÀ TREMPÉ DE 250 MM ET DE 500 MM DE LONG!
richtwerte-2.png

Valeurs de référence

Dénomination chimique: X46Cr13
Dureté d’utilisation: 50-55 HRC
Dureté à la livraison: max. 241 HB
Analyse chimique:
C Si Mn P S Cr
0,43

0,5
0

1,0
0

1,0
0

0,04
0

0,015
12,5

14,5
technical-info.png

Caractéristiques techniques

Acier pour moulage de matières plastiques et de travail à froid résistant à la corrosion, bien usinable, trempant et polissable. Trempe à cœur avec peu de déformation, haute acceptation de trempe et grande résistance à l’usure. La nuance est, sous certaines conditions, résistante aux acides.

anwendungen.png

Applications possibles

Construction mécanique en général, technique médicale, moules pour matières plastiques, outils pour compression de résine de synthèse, outils de coulage sous pression, coulage sous pression de métaux légers, outils de découpe, lames de machine, couteaux de cuisine, rasoirs à main, ciseaux, lames de curetage, instruments chirurgicaux, outils de mesure, paliers à roulement, roulements à billes, patins à glace, composants de pompe, soupapes.

70 NUANCES D'ACIER SOUS FORME DE 32895 DIMENSIONS

EN DIRECT DE NOTRE STOCK À OSNABRÜCK / ALLEMAGNE

LIVRAISON RAPIDE (DANS LA LIMITE DES STOCKS DISPONIBLES)

PAS DE MONTANT MINIMAL DE COMMANDE NI DE QUANTITÉ MINIMALE

LE PLUS VASTE ASSORTIMENT DE SEMI-FINIS D'EUROPE

SCIAGE - FRAISAGE - RECTIFICATION À VOS DIMENSIONS

Select Your Country / Language

Avez-vous des questions ?

Si vous ne trouvez pas ce que vous cherchez ou si vous avez besoin de dimensions individuelles alors vous êtes invités à vous renseigner directement sur vos besoins spécifiques – notre équipe vous aidera avec plaisir.

Appelez-nous à tout moment:
T: + 33 (0) 4 81 68 09 10 (Lyon)
T: + 32 (0) 4 268 18 10 (Liége)

ou envoyez-nous un e-mail à:

[email protected]

Si vous ne trouvez pas ce que vous cherchez ou si vous avez besoin de dimensions individuelles alors vous êtes invités à vous renseigner directement sur vos besoins spécifiques – notre équipe vous aidera avec plaisir.

Appelez-nous à tout moment: